◆ 松山湖材料实验室第三代半导体材料和器件团队负责人
◆ 北京大学物理学院博雅特聘教授
◆ 北京大学东莞光电研究院院长
长期从事宽禁带半导体材料、物理与器件研究,在氮化物半导体外延及其发光电子器件方面取得了一系列创新成果,目前于松山湖材料实验室主要聚焦于AlN复合衬底和AlGaN基紫外LED的研究。
◆ 2012年国家杰出青年科学基金资助
◆2018年入选北京市卓越青年科学家项目
◆2023年作为项目负责人获基金委创新群体项目
◆主持国家重点研发计划、863计划、自然科学基金杰出青年科学基金、国家重大科研仪器研制项目、重点基金、国际交流基金、国防挑战计划、国防基础预研等项目10余项
◆发表SCI论文310余篇,引用5800余次。多次被知名期刊列为期刊封面文章,受到学界著名杂志追踪报道
团队现有成员10人,包括高级职称研究人员4人、博士学位人员3人、硕士学位人员2人(在业内知名企业具有多年晶圆流片与封装经验),人才结构涵盖了理论研究、材料生长与器件设计组装各个层面,为团队课题研究和项目进行提供了有力保障。
王新强:教授,团队负责人
王维昀:正高级高级工程师
袁冶:研究员
王后锦:特聘高级工程师
曹家康:工程师
万文婷:工程师
唐波:工勤人员
卢瑞青:工勤人员
张紫珊:行政助理
团队围绕第三代半导体氮化物材料和器件,以AlN单晶复合衬底和AlGaN基紫外LED为中心开展研究,涵盖了从上游衬底材料开发、中游外延芯片设计制备、到下游器件模组封装等全产业链结构,目标产品在杀菌、医疗、制药、固化、滤波器和功率器件等领域具有重大应用价值。目前,团队已建成AlN单晶复合衬底制备中试生产线、外延芯片设计制备系统、AlN陶瓷基板及封装应用系统三大板块,针对性解决氮化铝单晶复合衬底和紫外光电器件的外延、芯片及光源模组等产业化关键技术问题,形成了自主知识产权,成功实现了氮化铝单晶复合衬底、紫外LED芯片和模组的产业转化。
方向1:大尺寸AlN单晶复合衬底
1、项目简介
本项目致力于开发专用于高亮度LED、高功率电子器件与GHz射频滤波器件的氮化铝单晶复合衬底,并成功实现氮化铝单晶复合衬底在上述领域应用的验证,有助于行业的降本增效,该方向已授权国家发明专利17项,荣获2023年度英国伦敦发明展金奖,在电子与光电子器件领域建立产品标准,为推动氮化铝单晶材料的应用积累了深厚基础,目前团队已就该方向与广东中民工业技术创新研究院成立联合工程中心,继续推动氮化铝单晶复合衬底的应用与产业化发展。
2、研究方向
(1)氮化铝单晶复合衬底的制备
利用物理气相沉积结合高温退火技术,已实现不同尺寸(2~8英寸)的高质量AlN单晶复合衬底,结晶质量居于先进水平,且制备技术基于产业化工艺基础,可实现千片规模的稳定量产。
4英寸和6英寸氮化铝单晶复合衬底、X射线摇摆曲线与表面形貌
(2)氮化铝单晶复合衬底在深紫外发光器件中的应用
氮化铝深紫外单晶复合衬底有利于实现深紫外LED器件的大幅度降本增效,通过降低器件外延过程中氮化铝缓冲层的厚度,有效降低后端生长工艺的成本与技术门槛,基于该项技术,团队首次实现了4英寸表面无裂纹深紫外LED外延片,将深紫外LED外延工艺与蓝光工艺无缝对接,极大的降低了外延成本。
基于氮化铝单晶复合衬底的4英寸深紫外LED外延片
左:电致发光测试;中:方阻面阵测试;右:光致发光面阵测试
(3)氮化铝单晶复合衬底在高功率电力电子器件中的应用
氮化铝单晶复合衬底中氮化铝区域优异的结晶质量能够有效降低后端GaN的外延成本,基于氮化铝单晶复合衬底,团队成功实现了具有超薄缓冲层结构的氮化镓HEMT功率电子器件,不但实现了GaN缓冲层区域的大幅降低(缓冲层厚度从从硅基HEMT中3~4 μm降低至200~300 nm),更是提高了器件的耐压值(2000 V以上),目前氮化铝单晶复合衬底已成功通过D-mode HEMT、E-mode HEMT与SBD型功率器件的外延验证。
基于氮化铝单晶复合衬底与硅衬底的D-mode型HEMT器件结构与性能对比
(4)氮化铝单晶复合衬底在高频MEMS器件中的应用
基于高结晶质量a面氮化铝单晶复合衬底,团队仅采用指插电极在2.38 GHz频段实现了品质因子高达2458的表面声波激发,能够有效应用于2.4 GHz频段的射频滤波通讯;此外,该谐振器首次实现了仅通过平面指叉电极实现了4 GHz频段的横向体声波激发,该成果将对未来低成本高频射频通讯领域起到至关重要的推动作用。
基于a面氮化铝单晶复合衬底的高性能SAW谐振腔及其谐振性能
方向2:AlGaN基紫外LED
1、项目简介
本项目以发展大功率UV-LED(250~340nm)发光器件为目标,以高质量的衬底材料为基础,依托专用的 MOCVD 外延生长设备,优化材料生长和掺杂技术,优化器件结构和芯片制备工艺,开发面向消毒杀菌、生物医疗和制药以及工业固化等领域的紫外 LED芯片。采用集成化设计,通过研究光源模组的系统散热、配光设计和封装技术,开展高功率密度的紫外LED集成光源模组的开发和研制,形成产业化产品,并开发其应用场景。
2、研究方向
(1)AlGaN基UV-LED外延芯片
目前团队已掌握了平片衬底和纳米图形衬底(NPSS)外延生长高质量AlN单晶材料的核心技术,在此基础上,开发出了高性能AlGaN基UV-LED外延片,解决了外延片翘曲大、裂纹多、压应力大、电压高、漏电流大、出光不均匀等一系列问题,实现了2英寸和4英寸UV-LED外延片的量产,中心发光波长涵盖265nm、275 nm、295 nm、308 nm,325nm和340nm等多个波段?;谟乓斓腢V-LED外延片,开发的UV-LED芯片同样具有优异的性能,已实现大批量销售,取得了下游客户的广泛认可。
紫外LED外延芯片产品
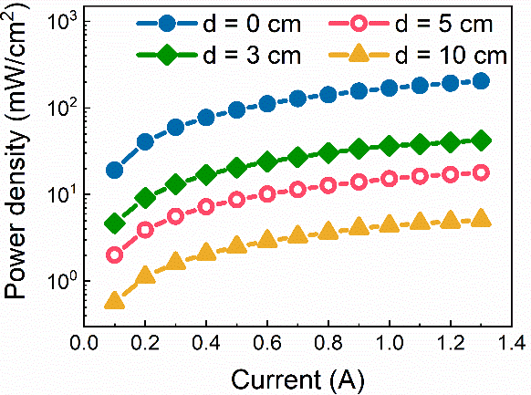
(2)UV-LED集成光源模组和空气杀菌模组 通过集成化电路设计、散热设计及无机封装技术,团队已成功开发了可靠稳定的高功率密度UV-LED集成光源模组。其中,开发的中心发光波长275nm的UVC-LED集成光源在出光面的辐照度达100 mW/cm2以上,紫外光输出功率覆盖100~2000mW,经第三方机构验证,可在一秒内可实现对多种常见致病菌以及新冠病毒超过99.9%的高效杀灭?;诖?,进一步开发了UV-LED空气杀菌应用模组,经第三方机构验证,可在30分钟内实现对20立方米空间内白色葡萄球菌和H1N1病毒超过99.9%的高效杀灭。
紫外LED集成光源模组及其紫外发光性能
方向3:AlN陶瓷基板封装
1、项目简介
针对高产热的大功率光电子器件,团队通过开展高导热、高绝缘AlN陶瓷基底封装材料研究,通过与传统无机材料封装相结合,从器件层面提高紫外LED器件的散热能力,降低封装材料与器件的的老化速率,推动大功率UV-LED的产业化;同时,进一步开发AlN陶瓷基板在其他大功率器件中的应用。
2、研究方向
团队针对高产热UV-LED器件封装的需求,开发高导热、低热膨胀,全无机的封装基材及器件结构。研发内容包括:1) 实现高导热AlN陶瓷表面金属电极的沉积,通过修饰陶瓷表面的形貌及溅射镀膜工艺的优化,提升AlN表面的浸润性和金属膜层结合力。2) 研究高深径比陶瓷通孔电镀工艺,实现封装基板的垂直电导互联。3) 开发适合无机封装的围坝及出光透镜结构,通过材料及结构的优化,降低各部件间热膨胀失配,提升器件的可靠性。4) 开发UV-LED集成模组,通过优化器件整体的散热通道、器件光输出效率,实现超大光功率输出。目前已开发具有陶瓷围坝结构的无机封装基板,大功率照明封装基板及集成UV-LED氮化铝封装基板等一系列产品。
陶瓷围坝结构无机封装基板和集成UV-LED氮化铝封装基板
成果转移转化情况
1、知识产权
已授权发明专利22项,实用新型13项

已授权发明专利22项

已授权实用新型13项
2、已开发产品
目前已完成4种AlN衬底(2~6英寸)、6种波长的UV-LED外延片(2~4英寸)和芯片(包括1020mil2、2020mil2、4040mil2等多种尺寸)、2种UV-LED集成光源及其应用场景、3种高导热AlN陶瓷基板(并可定制)的开发。
3、项目支持
团队成员迄今为止共承担国家、省市各级项目9项,企业级别科研任务3项,经费总额共计896.95万元。
4、获奖情况
(1)第九届中国创新创业大赛中小企业融通专业赛2020松山湖创新创业大赛总决赛二等奖
(2)2023年英国伦敦发明展金奖
(3)2023年第七届创客广东东莞市创新创业大赛创客组一等奖



5、产业化
2020年8月20日,团队成立了产业化公司中紫半导体科技(东莞)有限公司(http://www.sino-vio.com/),公司业务涉及高质量氮化铝复合衬底、UV-LED外延片、UV-LED芯片与高导热氮化铝陶瓷基板的相关技术研发、制造与销售。公司的经营范围包括半导体材料、电子器件、光电子器件以及半导体产品的研发、生产、加工、咨询、测试、销售、技术转让和技术服务;半导体材料与器件的制造设备、测试设备的租赁;货物或技术进出口等。