MnNiGa中取向磁性biskyrmion态的小角中子散射研究
近年来,量子材料的研究已经成为凝聚态物理领域的新热点。量子材料通常具有非平凡的拓扑特性。磁性斯格明子(skyrmion)材料是一类具有纳米尺度的拓扑自旋涡旋结构的量子材料。因其具有拓扑及超低电流密度驱动等特性,在基础理论研究及器件化商业应用研究等领域得到了广泛的关注。磁性双斯格明子(biskyrmion)是由两个手性相反的skyrmion耦合到一起形成的类skyrmion分子的拓扑磁涡旋结构(图一)。松山湖材料实验室磁性材料团队负责人、中科院物理所王文洪研究员和张颖副研究员等使用LTEM对MnNiGa体系中的biskyrmion态做了大量详细的研究,但尚不清楚此类新型MnNiGa块体材料中的biskyrmion属性。
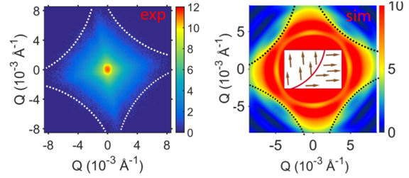
松山湖材料实验室中子科学平台负责人、中国科学院物理研究所、北京凝聚态物理国家研究中心中子组的王芳卫研究员指导博士生李西阳,联合物理所磁学室王文洪研究员及英国牛津大学物理系的Thorsten Hesjedal教授和张石磊博士等合作者,使用小角中子散射(SANS)技术,结合数值模拟,对MnNiGa块体材料进行了详细研究。单相多晶样品的实验结果验证了块体中同样存在biskyrmion(图一),发现与传统的skyrmion一样,biskyrmion可以在块体材料中形成贯穿样品的管状结构。单晶SANS实验发现:尽管biskyrmions在ab晶面空间分布无序,但每个skyrmion自身具有趋于一致的取向(图二),结合数值模拟及磁性测量数据发现此极化特性是由材料的磁晶各向异性导致的。这一额外的自由度在信息存储方面具有潜在的应用价值。
以上工作是biskyrmion材料SANS实验的首次报道,研究结果近期在线发表在 Advanced Materials (DOI: 10.1002/adma.201900264)杂志。研究得到了国家自然科学基金(11675255)、科技部国家重点研发计划(2016YFA0401503,2017YFA0303202)、科学院重点研究计划(KJZD-SW-M01)、EPSRC (EP/N032128/1)、松山湖材料实验室中子平台经费和英国牛顿基金中国项目等基金的资助。中子散射实验得到了中国散裂中子源CSNS、英国散裂中子源ISIS、瑞士PSI研究所中子源SINQ和法国ILL研究所中子源的支持。
相关工作链接:Oriented 3D Magnetic Biskyrmions in MnNiGa Bulk Crystals, Adv. Mater. 2019, 31, 1900264. https://onlinelibrary.wiley.com/doi/full/10.1002/adma.201900264

图一:MnNiGa中biskyrmion示意图(a, b, d)及垂直磁场几何下多晶样品中biskyrmion态对应的SANS散射花样(e, f)。两个skyrmion重叠部分的取向可以用来定义biskyrmion的面内取向(a图中黑色矢量箭头)。300 K(Tc ~350 K)下GPPD@CSNS的实验数据未测到螺旋磁结构对应的磁散射卫星峰(c)。

图二:平行磁场几何下单晶MnNiGa样品中biskyrmion态对应的SANS散射花样。

MnNiGa中取向磁性Biskyrmion态的小角中子散射研究
