倾斜反铁磁DyPtBi合金的拓扑磁输运性能研究取得进展
近期,Advanced Functional Materials报道了松山湖材料实验室公共技术平台-材料制备与表征平台博士后陈杰和双聘研究员王文洪关于Half-Heusler合金拓扑磁输运性质的研究工作。题目为:“Unconventional Anomalous Hall Effect in the Canted Antiferromagnetic Half-Heusler Compound DyPtBi”。该工作对磁性稀土基half-Heusler合金DyPtBi中非传统反?;舳вΦ牡骺匾约氨浠媛山辛讼低逞芯?。
Half-Heusler合金是一类由过渡族元素和主族元素组成的三元合金,具有组成元素分布广、晶体结构丰富以及物性广泛等特点,是研究基础物性以及相关技术应用的良好材料体系。该研究团队长期致力于稀土基half-Heusler合金RTX(R:稀土元素,T:过渡族金属,X:主族元素)的单晶生长以及物性研究。在具有强自旋轨道耦合的稀土基half-Heusler合金体系,通过原子占位设计实现了对合金能带结构的剪裁,建立了核磁共振化学位移表征自旋轨道耦合强度的新方法,研发出具有多种量子效应的half-Heusler合金体系。例如,在无磁性LuPtBi合金中获得了该体系最大的磁电阻效应以及超高的载流子迁移率 [Phys. Rev. B 92 (23), 235134 (2015)];强自旋轨道耦合效应使得ScPtBi合金在低场下具有反弱局域效应 [Appl. Phys. Lett. 107, 202103 (2015)];LuPdBi合金中发现了混合在三维体态中的二维弱反局域效应[Sci. Rep. 4, 5709 (2014)]以及YPdBi合金中的线性磁电阻[Sci. Rep. 3, 2181 (2013)]等系列成果。此外,课题组对RPtBi(R为重稀土)合金进行了研究,获得了被稀土元素调控的磁电阻以及量子相干效应 [Appl. Phys. Lett. 116 (10), 101902 (2020)];随后,在Tb/Ho/ErPtBi三个合金中观察到手性反常负磁电阻效应 [Appl. Phys. Lett. 116 (22), 222403 (2020)],证实了外磁场可调控的拓扑半金属特性。
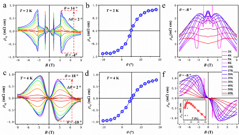
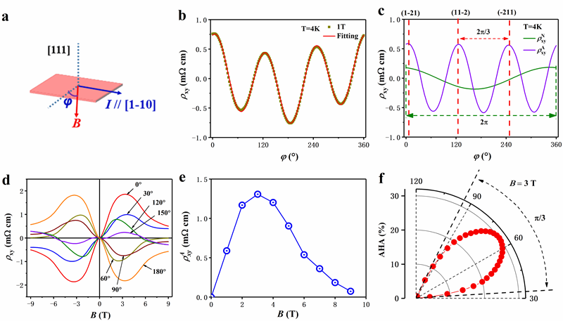
在上述研究工作基础上,近期,陈杰博士后、郗学奎副研究员和王文洪研究员等,利用松山湖材料实验室材料制备与表征平台先进的仪器设备,对稀土基half-Heusler合金DyPtBi的反?;舳вΓˋHE)进行了系统的研究。他们发现:不同于其他磁性RPtBi合金,DyPtBi合金除了具有反铁磁基态,还具有磁结构相变(图1c)。根据前人中子衍射研究,DyPtBi单晶在沿[110]方向外加磁场作用下发生两个磁相变,分别形成了 Type I型倾斜反铁磁以及Type II型倾斜反铁磁相。图1d为DyPtBi合金的磁结构相图。而倾斜反铁磁相的形成使得拓扑半金属DyPtBi合金表现出大的反?;舳в?,并且随着温度的升高,反常霍尔效应延伸至远高于TN的顺磁温度(图2a,图3f)。此外,手性反常诱导的负磁电阻现象表明在外磁场作用下可能形成了Weyl半金属相(图2c,图3e)。在磁有序和顺磁区域,面外转角霍尔测量表明在一定范围内霍尔信号随着面外夹角增大而增大(图3)。面内霍尔曲线的双周期函数拟合,成功将体系中正?;舳вσ约胺闯;舳в辛朔掷搿F渲?,反?;舳вυ冢?11)面内具有三重对称性(图4)。该工作揭示了倾斜反铁磁态到顺磁态的反?;舳вρ荼涔潭苑谴撤闯;舳вρ芯烤哂兄匾牟慰家庖?。
松山湖材料实验室材料制备与表征平台双聘研究员王文洪为文章的通讯作者,制备与表征平台博士后陈杰为第一作者。该工作得到了国家自然科学基金(11974406,12074415)、中科院B类先导专项(XDB33000000)、中国博士后科学基金(2020M680734)以及松山湖材料实验室的支持。
原文链接:
DOI:https://doi.org/10.1002/adfm.202107526
文章附件:adfm.202107526.pdf

图1. a(111)晶面的XRD衍射谱,插图为晶体结构和单晶样品。b 低温下的RT和MT曲线。c B//[1-10]和2K时的等温磁化曲线以及对应磁场下的磁结构。d磁结构相图。

图2. a θ = 0°(即B//I)时,随温度变化的磁电阻和霍尔电阻率曲线。b 面外转角输运测量示意图。c和d分别为磁场和电流夹角依赖的磁电阻和霍尔曲线。

图3. a和c分别为2K和4K下的面外转角霍尔曲线。b和d分别图a和c中提取的霍尔极值随面外转角的变化。e和f为面外夹角θ = -8°时不同温度下的磁电阻和霍尔曲线。

图4. a 磁场在电流面内转角输运测量示意图。b 在4K和1T场下,磁场面内转角霍尔曲线。红线为周期函数:ρxy=Acos(2πφ/3 + c)+ Bcos(2πφ + d)的拟合曲线。c 分离得到的周期为2π的正?;舳藕乓约爸芷谖?π/3的反常霍尔信号。d不同面内转角下霍尔曲线。e通过曲线拟合得到的反常霍尔信号振幅磁场的变化。f 在T=4K和3T场下反?;舳恰?/p>
