科研进展丨金属玻璃中类液原子的发现及机理研究
根据原子运动状态的不同,物质通常可以分为固、液、气三种状态,三态之间有着明显的区别,比如液态的水和固态的冰,固液两相即使充分混合仍然会存在清晰的边界。然而,最新的一些研究却挑战了我们对物态的基本认识,在极端条件或特殊体系中,单相的物质可以处于既是固态也是液态的奇异状态,即固体中存在部分可以像液体一样扩散的原子。比如冰在高温高压下(如天王星、海王星等冰巨行星的内部)就会处于一种奇异的超离子态,氧原子固定在平衡位置附近振动,氢原子则可以像在液体中一样自由扩散。地球核心也可能处于超离子态,铁原子组成了固体的地核,碳氢氧等轻元素则可以在其中快速流动。我们追求的更加安全高效的全固态锂电池,核心问题之一也是使锂离子在固体中能够像在液体电解质中一样快速穿梭。因此这种固体中包含液体的现象正吸引着不同领域的科学家们越来越多的注意。
玻璃材料是一种特殊的固体材料,具有超强、超硬、堆积致密等典型的固体特性,同时又具有像液体一样无序的原子结构,是一个典型的复杂体系。虽然玻璃材料在生活中随处可见,并且人类使用玻璃已有上千年的历史,科学家们仍然无法给出玻璃的微观结构和动力学图像。尽管玻璃具有和液体类似的微观结构,但人们一般认为其内部原子都已经失去了像液体一样大范围运动的能力,玻璃也通常被称为冻结的液体。
最近,中国科学院物理研究所/北京凝聚态物理国家研究中心极端条件物理重点实验室的白海洋研究员,联合中国人民大学李茂枝教授,指导物理所博士生常超、赵睿和博士后张华平等人结合动态力学实验、纳米压痕测试和分子动力学模拟等多种动力学研究手段,发现金属玻璃等紧密堆积的玻璃固体中存在继承了高温液体动力学行为的类液原子。这些类液体原子并没有被冻结,他们在室温下仍然可以快速地扩散,有效粘度只有107帕秒,比金属玻璃在Tg的粘度低了至少6个数量级。这一发现突破了玻璃的传统微观图像,揭示出金属玻璃部分固体部分液体的本质。相关研究成果以“Liquid-like atoms in dense-packed solid glasses”为题名,于2022年8月15日在线发表在Nature Materials上,白海洋研究员为通讯作者,常超、赵睿和张华平为共同第一作者。详细内容参见链接https://www.nature.com/articles/s41563-022-01327-w。
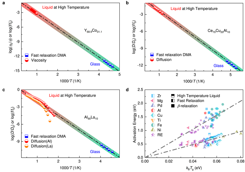
实验上直接观测原子的运动是一件非常困难的事情,该研究中实验人员使用动力学激发的方式去研究玻璃内部的原子运动。当外加扰动的频率与内部原子运动的频率相当时,原子运动会与外场发生共振吸收,从而在实验中能测量到特征的损耗峰。研究者重点关注了金属玻璃在低温下出现的损耗峰,即快弛豫峰(图1)。这一动力学模式比以往观察到的玻璃内对应原子大范围运动的a弛豫以及对应局域运动的b弛豫都要更快,意味着金属玻璃中存在着超出传统认识的运动更快的原子。对大量不同体系动力学激活能的测量表明,快弛豫的激活能和高温液体动力学的激活能保持一致(图2)。对比不同弛豫过程的弛豫时间还发现,高温液体的动力学和玻璃固体中的快弛豫满足相同的Arrhenius关系(图3),意味着在液体冷却过程中,高温液体的动力学模式并没有被完全冻结,一些原子可以延续高温液体的Arrhenius关系至玻璃固体中,导致了玻璃固体室温下的超快滞弹性和低温下的快动力学耗散峰。进一步,研究者使用分子动力学模拟详细表征了La-Al体系中类液原子的运动特征和继承过程。研究发现,在室温下部分具有极其无序拓扑环境的Al原子就会发生类似熔化的长程扩散行为,并且呈现出链状运动的特征(图4)。这种链状运动在高温液体中已经产生(图5),并且会随温度降低越来越显著,直至在玻璃固体中表现为低温下的快动力学模式,意味着类液原子的继承本质上是对链状运动模式的继承。
对于金属玻璃中类液原子的研究,加深了我们对于玻璃本质的认识,即玻璃态其实是一种部分是固态部分是液态的奇异状态。这种新的物理图像不仅澄清了玻璃在低温下快弛豫模式的起源,也将有助于构建玻璃的动力学-性质关系。例如,这些类液原子会导致金属玻璃室温下明显的滞弹性行为,并很可能和金属玻璃的塑性变形密切相关。此外,金属玻璃中类液原子和结构无序的关联也将对研究其他固体物质中的超快扩散带来启发,如超离子态的结构起源以及固体电解质的离子迁移等。
该研究得到了国家自然科学基金(52192600,61888102,11790291,52031016,51631003)、广东省自然科学基金(2019B030302010)、中国科学院战略性先导科技专项(XDB30000000)、国家重点研发项目(2018YFA0703603)以及博士后基金(2020TQ0346,2021M693372)的支持。

图1:动态力学谱检测到快弛豫过程

图2:快弛豫和高温液体的激活能的关联

图3:Y68.9Co31.1金属玻璃的弛豫地图

图4:300 K下Al90La10金属玻璃中类液原子的识别和表征

图5:Al90La10系统中链状扩散的继承过程
原文附件:NM22-Liquid atoms in slid metallic glass.pdf
