科研进展丨滴水穿石:十八载实验验证非晶合金稳定性
非晶合金能否长时间保持稳定?非晶材料稳定性的物理机制和根源是什么?这些都是非晶合金材料和物理领域长期关注的重要难题。
众所周知,非晶态物质的无序原子排列结构特征,导致其相比晶体材料具有更高的自由能,在能量上处于亚稳态。不同种类的非晶态物质会呈现出截然不同的稳定性,如火山玻璃和琥珀可以在恶劣的物理、化学环境中稳定存在数亿年;而非晶合金则表现出相对较差的热稳定性,如第一个被发现的Au-Si非晶合金在室温下3小时后就开始发生晶化,24小时后样品完全晶化。差的热稳定性会使非晶合金在弛豫或老化过程中物理和力学性能发生恶化,从而限制非晶合金的长时间服役和大规模应用。因此,非晶合金的稳定性和温度密切相关,温度越高稳定性越低。研究非晶合金的长时间稳定性,最有效的手段就是考察其玻璃转变温度(Tg)附近的长期稳定性。但是,由于通常的非晶合金均具有较高的Tg, 使得在实验室中长年累月的超长时间高温退火实验将变的十分困难和甚至不可能。但是,如果寻找到一种非晶合金材料,其Tg在室温附近,就可以利用自然时效(即,室温退火,room temperature aging)来研究其长时间的稳定性。
中科院物理研究所汪卫华团队张博等人曾于2005年开发出了Ce-基大块非晶合金(图1),由于其拥有较低的玻璃化转变温度(Tg ~ 67℃),在开水中就可以进行塑性加工,因此,Ce-基非晶合金又被称为“金属塑料”【Phys. Rev. Lett. 94, 205502 (2005)】。低Tg点的特性使得Ce-基金属塑料成为研究非晶合金超长时间稳定性的理想材料体系。如图2所示,较低的Tg点使得室温老化效应对Ce-基非晶合金特别显著,室温下对Ce-基非晶合金的老化相当于其在0.85Tg下高温退火,这远远高于其它非晶合金体系在室温下的老化效应,如Zr-基非晶合金在室温下老化等于其在0.45Tg下退火。理论上,Ce-基非晶合金室温下显著的老化效应可以允许其在合适的退火温度窗口内进行无限长时间的老化实验,这是其它高Tg点非晶合金体系所不可能获得的。
松山湖材料实验室和中科院物理所研究了Ce-基金属塑料在0.85Tg下长达17.7年的超长室温老化样品的稳定性问题,如此接近Tg点的高温长时间老化实验样品在对非晶合金以往的研究中还从未有过。实验发现超长时间高温老化后的Ce-基非晶合金样品依旧保持着完美的非晶态(图3A-B),表现出极强的抗晶化能力,打破了传统对非晶合金稳定性差的认识。如图3C-D所示,老化后Ce-基非晶合金的Tg点升高了27K,虚化温度Tf下降了46K,这说明其动力性稳定性和热力学稳定性同时得到显著的提升,长时间老化使其成为一种超稳态大块非晶合金。进一步通过 θ [=(Tf-TK)/(Tg-TK)]参数来表征玻璃的能量状态与理想玻璃之间的距离,从而能够评判玻璃热力学稳定性的优劣。如图4A所示,17.7年室温老化后的超稳Ce-基非晶合金的热力学稳定性优于大多数通过气相沉积制备的超稳玻璃薄膜,甚至能够与上亿年老化后的琥珀相媲美。
Ce-基非晶合金的超稳性是如何实现的呢?分析发现,Ce-基超稳非晶合金的获得与它的强脆性特性密切相关,Ce-基非晶合金的动力性脆性值在20-30之间,是一种典型的强液体玻璃体系。通常,强液体的能量势垒图存在一个大的能谷而弱液体的能量势垒是由多个不同的大能谷组成,这意味着强液体的微观动力学是相对均匀的。如图4B-C所示,强液体特性使得Ce-基非晶合金在老化过程中能够持续快速地通过临近小能谷间的跃迁最终到达较低的能量状态。图4A中脆性有机玻璃IMC (m ~ 82.8)和PS (m ~ 116)的弛豫速率显著小于强Ce-基非晶合金(m ~ 28),验证了强玻璃体系能够有效快速弛豫的推断。
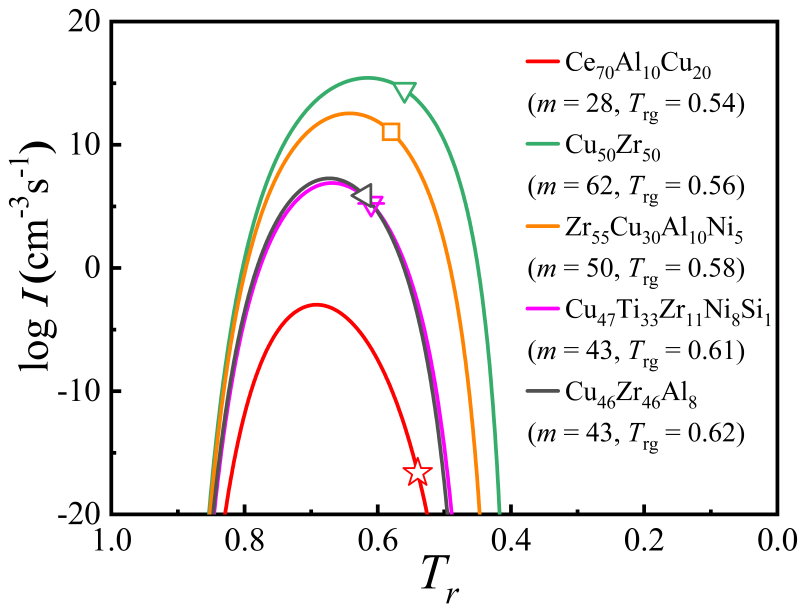
强脆性特征能够保障Ce-基非晶合金的快速弛豫接近理想玻璃态,但是,超稳性的获得还需要高的抗晶化能力,即能够阻碍弛豫过程中形核、结晶行为的发生。根据经典形核理论,我们比较了Ce-基非晶合金与其它合金体系的形核率大小。发现,强的液体特征和较大的Trg值促使Ce-基非晶合金拥有极低的形核率(图5),表现出一种可以与琥珀媲美的强抗形核能力。此外,通过超稳态Ce-基非晶合金有助于我们阐述一些经典的玻璃态物理科学问题,比如通过非对称退火实验发现超稳态Ce-基非晶合金可以到达平衡液态而不结晶,这支持了玻璃只有在弛豫完全结束后才会成核结晶的观点。
相关结果以“Ultrastable metallic glass by room temperature aging”为题发表在Science Advances期刊上。松山湖材料实验室博士后赵勇为论文的第一作者,松山湖材料实验室张博研究员、柯海波研究员和白海洋研究员为论文的共同通讯作者。本项工作得到了广东省基础与应用基础研究重大专项(No. 2019B030302010)、国家重点研发计划项目(No. 2021YFA0716302)、国家自然科学基金委项目(No. 52101199和No. 52071222)、中国空间技术研究院钱学森实验室空间探索项目(No. TKTSPY-2020-03-02)、广东省基础与应用基础研究项目(No. 2021B1515140005)的大力支持。

图1 具有低Tg点(~ 67℃)的Ce-基非晶合金,在开水中即可进行弯曲变形,又被称为金属塑料

图2 室温下Ce-基非晶合金的老化效应显著强于其它非晶合金体系

图3 Ce70Al10Cu20室温(0.85Tg)下老化17.7年后依然呈现出完美的非晶态,其热力学和动力性稳定性都有显著提升,表现出一种可以与琥珀媲美的高稳定性

图4 (A) 镀膜或老化得到的超稳态玻璃的热力学稳定性θ= [(Tf-TK)/(Tg-TK)]。(B)强液体和(C)脆性液体的能垒图比较。Ce70Al10Cu20属于强玻璃体系,有助于其持续快速地往超稳态弛豫
.png)
图5 Ce70Al10Cu20与其它玻璃体系形核率的比较。Ce-基非晶合金的低形核率能够有效阻碍其形核晶化,从而拥有显著的高热稳定性
原文附件:Sci Adv - Ultrastable metallic glass by room temperature aging.pdf
