科研进展丨高能态高稳定非晶合金的制备取得重要进展
近日,松山湖材料实验室非晶材料团队的汪卫华研究员,柯海波研究员联合东莞理工学院王建国教授、华南理工大学杨超教授在国际权威期刊《Materials Today Physics》上发表了题为“Extreme rejuvenation and superior stability in a metallic glass”的研究工作,实现了兼具高能态和高稳定性的非晶合金,打破了材料的能量状态与稳定性之间的倒置关系。
非晶合金由于长程无序的原子结构,而具有高强度、高硬度、高弹性、优异的耐腐蚀性等优点,被认为是21世纪最具有应用前景的革命性新材料之一。能量,作为亚稳态材料的一项重要指标,被广泛用来研究非晶合金中的核心科学与工程问题,如结构回春引起的能量升高,通常伴随着材料的塑性提高和高的催化特性等特点。然而,相比于晶态合金,非晶合金已是一种高能的亚稳态材料。因此,结构回春使得体系的能量和结构无序度增大,将加快体系的原子重排和扩散,促进结构弛豫,抵消回春效果,从而降低体系的稳定性,导致非晶合金的能量状态呈现波动的变化,难以实现非晶合金回春效果的最大化。因此,如何打破能量状态和稳定性之间的掣肘关系并获得高能高稳定的非晶合金极具有挑战性,这也一直是材料科学以及凝聚态物理领域的热点之一。
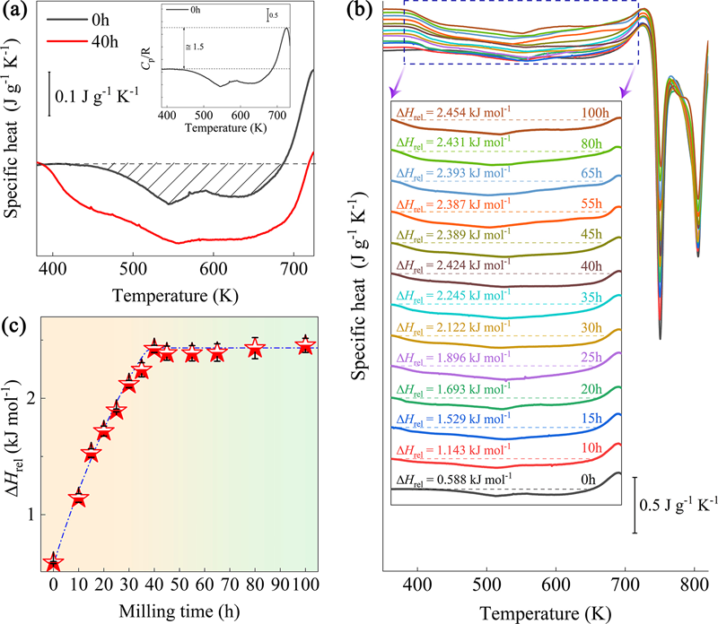
研究团队利用机械合金化,结合纳米压痕测试和热容测试等多种表征手段,对铜基非晶合金粉末进行了系统地研究。结果表明,随着能量注入的时间增长,非晶合金所储存的能量越多,在40h之后,体系所储存的能量达到饱和并保持稳定(图1)。这一饱和值达到了回春态非晶合金的能量新高(图2)。同时,对不同制备条件下获得的非晶合金进行长时间室温退火后发现,本文获得的高回春态非晶合金具备惊人的稳定性,可媲美超稳定玻璃(图3)。进一步的微观表征发现形成的类纳米非晶型核壳结构的界面势垒可阻止原子迁移(图4),提高了体系的稳定性。

图1 弛豫焓随着能量注入时间的演化规律

图2 不同热加工处理后回春态非晶合金的能量状态

图3 非晶合金能量状态与稳定性的关系

图4 回春和稳定机制
本工作通过机械合金化构筑类纳米非晶型核壳结构基元,利用核壳结构的界面势垒特性,成功获得了兼具高能态和高稳定性的非晶合金,深化了我们对于玻璃物质亚稳本质特性的认识,对探索具备独特性能的高能高稳定玻璃提供了参考。
该研究成果得到了广东省基础与应用基础研究重大项目(2019B030302010)、国家重点研发项目(2018YFA0703603))、广东省基础与应用基础研究区域联合基金-青年基金(2021A1515111107)、国家自然科学基金(52071081、52071222、52071081、51971239)、中国科学院前沿科学重点研究项目(XDB30000000)等多个项目的大力支持。
原文链接:https://doi.org/10.1016/j.mtphys.2022.100782
