科研进展丨金属玻璃的室温弛豫机制
作为一种处于非平衡态的新型非晶材料,金属玻璃会经历结构弛豫向能量更低的平衡态演化,严重影响着金属玻璃的稳定性及其工程应用。然而,金属玻璃在室温下的弛豫机制仍不清楚。一方面,金属玻璃的弛豫行为非常复杂,另一方面,金属玻璃在室温下的弛豫非?;郝?,传统的实验手段或模拟方法很难对其进行有效的测量或表征。
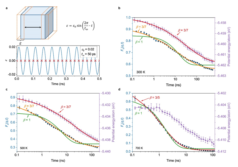
近期,中科院物理所博士后孙奕韬、赵睿在松山湖材料实验室主任汪卫华院士和中国人民大学李茂枝教授的联合指导下,对几种典型金属玻璃体系进行长时间尺度的分子动力学模拟,并利用循环应变加载技术加速金属玻璃的弛豫,观测到了金属玻璃的室温弛豫并进行了系统的表征。研究发现,在玻璃转变温度以下,几种典型金属玻璃体系的弛豫动力学均呈现出以Kohlrausch–Williams–Watts (KWW) 函数为特征的扩展指数衰减,并且特征扩展指数均为β≈3/7,而金属玻璃在过冷液相中的弛豫行为则表现为的KWW衰减模式(如图1所示)。这些结果表明金属玻璃在室温下的弛豫具有普适性。进一步地,通过应力弛豫实验发现,不同成分的金属玻璃在玻璃转变温度以下的较大温度范围内都呈现以β≈3/7为特征的应力衰减,为金属玻璃室温弛豫的普适性提供了实验证据(如图2所示)。通过对金属玻璃体系内的空穴进行表征,发现空穴总体积随着老化过程的演化也呈现出β≈3/7为特征的KWW动力学模式(如图3所示)。金属玻璃在老化过程中的结构演化,可以认为是体积较大的空穴逐渐湮灭的过程。
这些结果构建了无序体系从高温简单液体到室温玻璃态的完整弛豫动力学图像:随着温度降低,无序体系的弛豫机制从β=1简单指数弛豫(简单液体)逐渐演化到β~3/5扩展指数弛豫(过冷液体),当温度进一步降低,演化为以β=3/7为特征的玻璃态弛豫机制。这种具有明显特征的玻璃弛豫机制为进一步理解玻璃和玻璃转变的本质提供了新的证据。
相关研究成果以“Distinct relaxation mechanism at room temperature in metallic glass”为题,于2023年2月1日在Nature Communications上在线发表。孙奕韬和赵睿为论文的共同第一作者,孙奕韬和李茂枝教授为论文的共同通讯作者。上述研究工作得到了国家重点研发计划(2018YFA0703600),国家自然科学基金(52001230,52031016,51825104,11790291,61888102,51871234),中科院战略性先导科技专项(XDB30000000),和中国博士后科学基金(2022T150691),材料基因组研究平台等的资助和支持。
文章链接:https://www.nature.com/articles/s41467-023-36300-x

图1 循环应变加载下的金属玻璃弛豫动力学。其动力学特征与过冷液体存在明显区别。

图2.金属玻璃在应力弛豫下的动力学特征。不同成分的合金体系都呈现出相同的低温动力学特征。

图3.金属玻璃老化过程中的结构演化。体系能量降低的过程中伴随着空穴(尤其是尺寸较大的空穴)的湮灭。
