科研进展丨中熵合金高压超导转变温度突破新纪录
超导电性是人类发现的第一个宏观量子现象,因其具有丰富的科学内涵和广阔的应用前景,一直是物理学研究领域的热门。尽管超导电性现象的发现已有百年历史,探索高温超导材料和超导机制仍是一个充满挑战的领域。2014年,体心立方的高熵合金超导发现以来,超导电性的研究也成为中熵合金与高熵合金的核心问题之一。但迄今为止,报导的中熵合金与高熵合金的超导转变温度均未超过10 K。
近日,由中国科学院物理所、松山湖材料实验室、北京信息科技大学等单位组成的研究团队,成功合成了TaNbHfZr中熵合金,并发现其在高压下具有“钟罩型”的超导相图,超导转变温度达到了15.3 K,这是目前中熵合金、高熵合金报导的最高记录。理论计算很好的复现了这一“钟罩型”的超导相图,并发现这种压力依赖的超导行为是由声子特征频率与电声耦合强度对压力演变的竞争行为导致的。相关成果以“Record-High Tc and Dome-Shaped Superconductivity in a Medium-Entropy Alloy TaNbHfZr under Pressure up to 160 GPa”为题发表于物理领域顶级刊物 Physical Review Letters [Phys. Rev. Lett. 132, 166002 (2024)],并被选为Editors’ Suggestion。

中熵合金TaNbHfZr高压下超导电性的表征
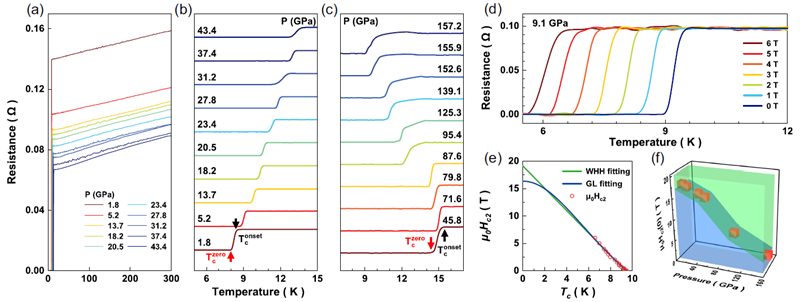
研究团队采用金刚石对顶砧对TaNbHfZr样品进行施压,在PPMS中采用四电极的方式测量了TaNbHfZr在高压下电阻随温度的演变,如图1(a)-(c)所示。可以看到在整个压力区间(1.8至157.2 GPa),超导转变温度先从8.5 K(@ 1.8GPa)增加至15.3 K (@71.6 GPa),随后降低至9.3 K (@ 157.2 GPa), 呈现出“钟罩型”的超导相图。如图1(d)-(f)所示通过Ginzburg-Landan公式对上临界磁场进行拟合,可以发现在1.8至31.2 GPa的范围内,上临界磁场对压力并不是很敏感,但随着压力进一步升高,上临界磁场逐渐减小至2.6 T (@ 155.9 GPa)。

图1 (a) 1.8 至43.5 GPa下TaNbHfZr体系温度依赖的电阻测量结果。(b) 1.8 至43.5 GPa电阻测量的局部示意图。(c) 45.8 至157.2 GPa下TaNbHfZr的温度依赖的电阻测量结果。(d) 9.1 GPa下电阻随施加磁场的演变。(e) 上临界磁场的拟合结果。(f) 压力依赖的上临界磁场的拟合结果。
第一性原理探索“钟罩型”相图的起源
虚晶近似(Virtual crystal approximation, VCA)是一种十分简化的模拟方式,在高熵合金材料的研究中扮演着特别重要的角色。研究人员采用该方式对中熵合金材料TaNbHfZr进行理论建模,并结合Allen-Dynes修正的McMillan公式对体系在不同压力下的超导转变温度进行了模拟。如图2所示,可以看到计算结果同实验具有相同的趋势。随后通过详细的声子结构与电子结构计算发现,声子频率出现蓝移,使得声子特征频率随着压力的升高而升高。而费米能级处的态密度与电声耦合强度随着压力的升高而减小。结合McMillan公式,研究人员认为这两种不同的演变方式之间的竞争使得体系出现了“钟罩型”相图。

图2 (a) 实验测量(红色)及理论计算的TaNbHfZr体系超导转变温度随压力的演变。(b) 计算得到的声子特征频率与电声耦合强度随压力的演变。

图3 (a) 0GPa, (b) 50 GPa及(c) 155 GPa下TaNbHfZr体系声子谱及声子态密度。(d)-(f)为与之对应的电子结构及电子态密度。
该工作由中国科学院物理所、松山湖材料实验室、北京信息科技大学等单位共同完成,中国科学院物理所吴李昀虓(实验测量)、松山湖材料实验室司建国(理论模拟)、北京信息科技大学管诗雪(样品制备)为本文的共同一作,中国科学院物理所的于晓辉、洪芳、刘淼(松山湖材料实验室)为共同通讯作者。该研究工作得到了国家重点研发计划、国家自然科学基金、中国科学院基金等项目的大力支持。
